业界新闻

当前位置:首页 > 通知公告> 通知公告

创业指导师成绩公示

发布时间:2025/11/19 14:48:23

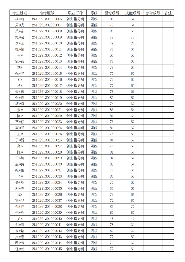
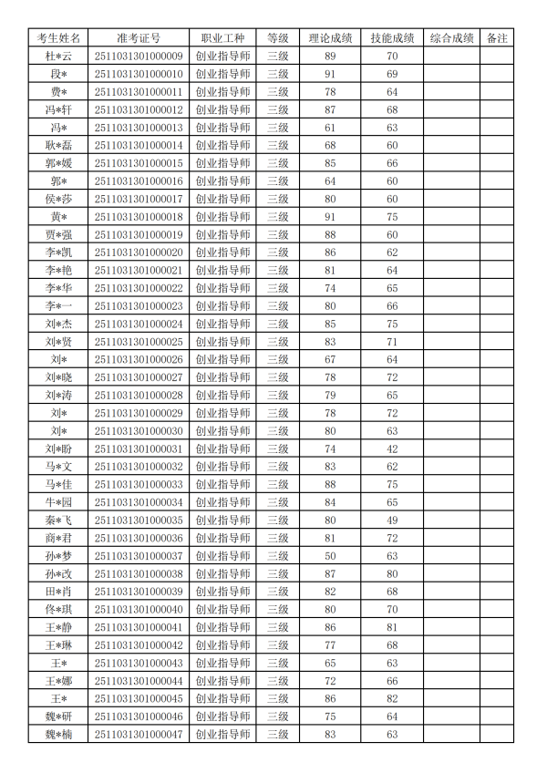
现将社区2025年11月15日上午石家庄市裕华区创业指导师三级、四级;2025年11月15日下午石家市桥西区创业指导师三级、四级;2025年11月16日下午石家市正定县创业指导师三级、四级;成绩公示如下,公示时间为2025年11月19日—11月24日,公示期内如有异议,请及时与协会联系,联系电话:0311-66632276。

提取自成绩单-2025.11.15上午金色未来2025.11.15下午书旗2025.11.16下午正定锦程_1.png提取自成绩单-2025.11.15上午金色未来2025.11.15下午书旗2025.11.16下午正定锦程_2.png提取自成绩单-2025.11.15上午金色未来2025.11.15下午书旗2025.11.16下午正定锦程_3.png提取自成绩单-2025.11.15上午金色未来2025.11.15下午书旗2025.11.16下午正定锦程_4.png提取自成绩单-2025.11.15上午金色未来2025.11.15下午书旗2025.11.16下午正定锦程_5.png提取自成绩单-2025.11.15上午金色未来2025.11.15下午书旗2025.11.16下午正定锦程_6.png提取自成绩单-2025.11.15上午金色未来2025.11.15下午书旗2025.11.16下午正定锦程_7.png

本文链接:http://www.hbsfjp.org.cn/news/2025-11-19/342.html
分享到: 点击次数:  更新时间:2025/11/19 14:48:23  【打印此页】  【关闭
上一条:创业指导师成绩公示  下一条:没有了!

通知公告