业界新闻

当前位置:首页 > 通知公告> 通知公告

创业指导师成绩公示

发布时间:2025/11/12 15:00:17

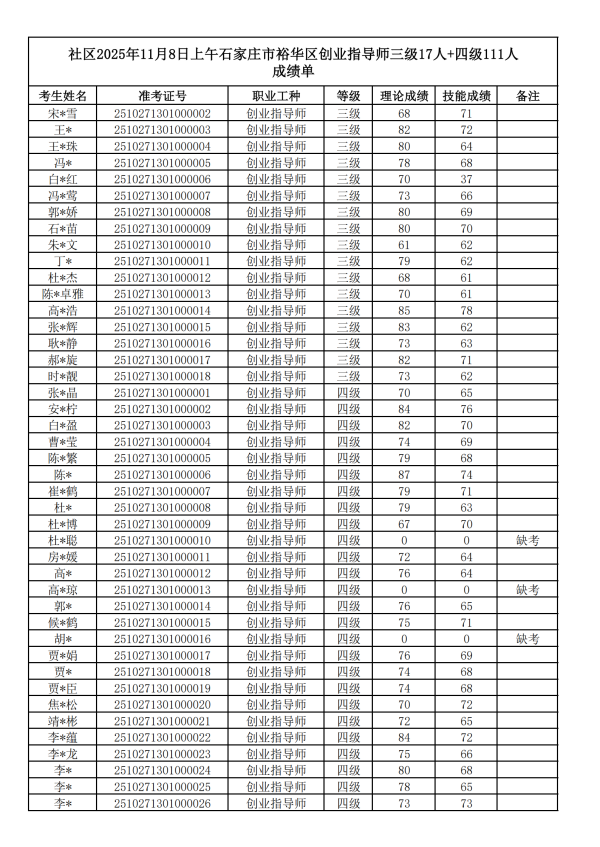
现将社区2025年11月8日上午、下午石家庄市裕华区创业指导师三级、四级;2025年11月9日上午石家市裕华区创业指导师三级、四级成绩公示如下,公示时间为2025年11月12日—11月17日,公示期内如有异议,请及时与协会联系,联系电话:0311-66632276。

提取自成绩公�?11�?日�?日石家庄三个批次_1.png提取自成绩公�?11�?日�?日石家庄三个批次_2.png提取自成绩公�?11�?日�?日石家庄三个批次_3.png提取自成绩公�?11�?日�?日石家庄三个批次_4.png提取自成绩公�?11�?日�?日石家庄三个批次_5.png提取自成绩公�?11�?日�?日石家庄三个批次_6.png提取自成绩公�?11�?日�?日石家庄三个批次_7.png提取自成绩公�?11�?日�?日石家庄三个批次_8.png

本文链接:http://www.hbsfjp.org.cn/news/2025-11-12/341.html
分享到: 点击次数:  更新时间:2025/11/12 15:00:17  【打印此页】  【关闭
上一条:创业指导师成绩公示  下一条:没有了!

通知公告