业界新闻

当前位置:首页 > 通知公告> 通知公告

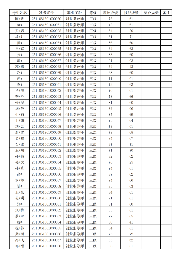
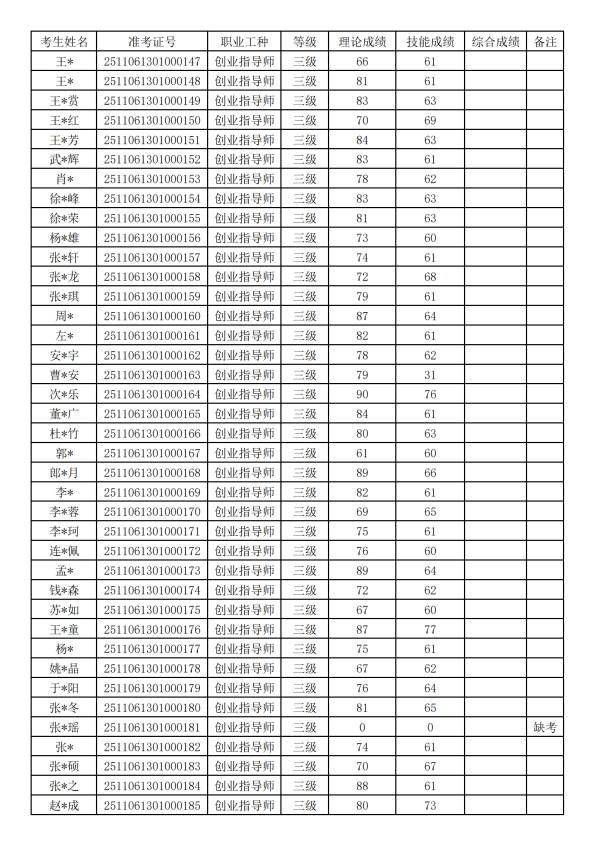
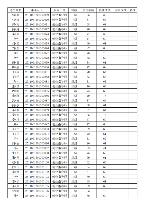
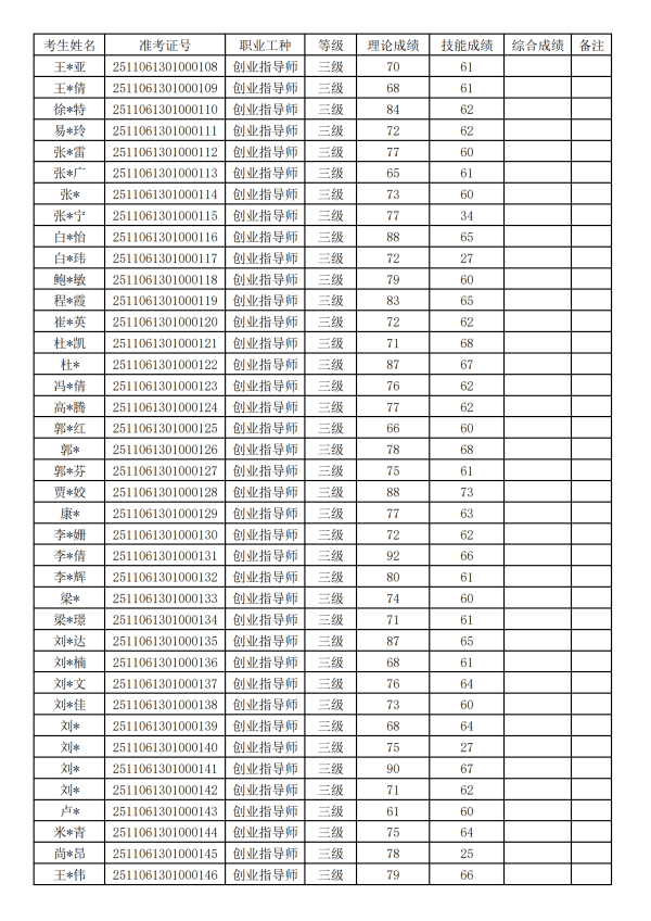
创业指导师成绩公示

发布时间:2025/11/27 9:55:04

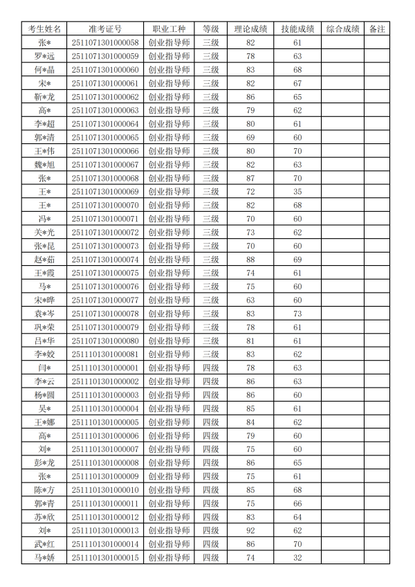
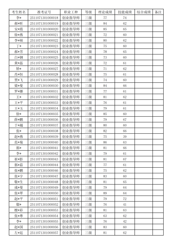
现将社区2025年11月22日下午石家庄市裕华区创业指导师三级、四级;2025年11月23日石家市桥西区创业指导师三级、四级;成绩公示如下,公示时间为2025年11月27日—12月1日,公示期内如有异议,请及时与协会联系,联系电话:0311-66632276。

提取自成绩单-2025.11.22下午欣存2025.11.23全天锦程_1.png提取自成绩单-2025.11.22下午欣存2025.11.23全天锦程_2.png提取自成绩单-2025.11.22下午欣存2025.11.23全天锦程_3.png提取自成绩单-2025.11.22下午欣存2025.11.23全天锦程_4.png提取自成绩单-2025.11.22下午欣存2025.11.23全天锦程_5.png提取自成绩单-2025.11.22下午欣存2025.11.23全天锦程_6.png提取自成绩单-2025.11.22下午欣存2025.11.23全天锦程_7.png提取自成绩单-2025.11.22下午欣存2025.11.23全天锦程_8.png提取自成绩单-2025.11.22下午欣存2025.11.23全天锦程_9.png提取自成绩单-2025.11.22下午欣存2025.11.23全天锦程_10.png提取自成绩单-2025.11.22下午欣存2025.11.23全天锦程_11.png提取自成绩单-2025.11.22下午欣存2025.11.23全天锦程_12.png

本文链接:http://www.hbsfjp.org.cn/news/2025-11-27/343.html
分享到: 点击次数:  更新时间:2025/11/27 9:55:04  【打印此页】  【关闭
上一条:创业指导师成绩公示  下一条:没有了!

通知公告