业界新闻

当前位置:首页 > 通知公告

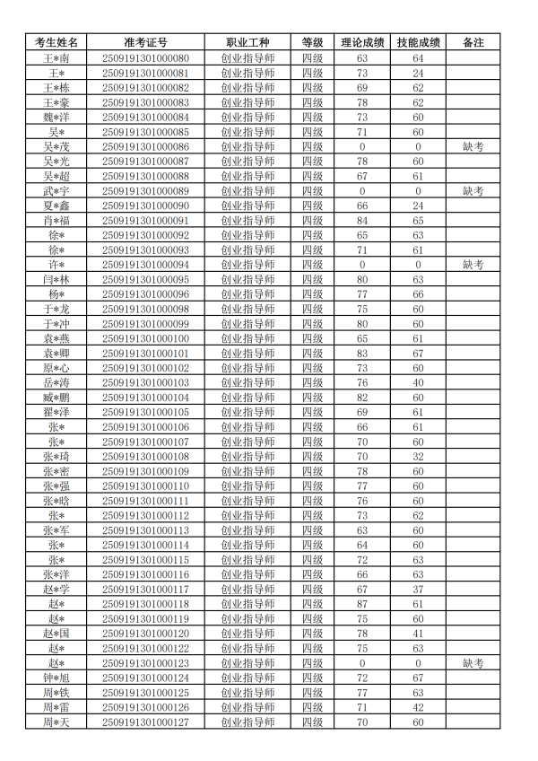
创业指导师成绩公示

发布时间:2025/10/15 16:51:22

现将社区2025年10月11日晚上石家庄市裕华区创业指导师四级;社区2025年10月12日上午石家庄市长安区创业指导师三级、四级;社区2025年10月12日下午石家庄市长安区创业指导师四级;成绩公示如下,公示时间为2025年10月15日—10月20日,公示期内如有异议,请及时与协会联系,联系电话:0311-66632276。

提取自成绩公�?10�?1日�?2日石家庄三个批次_1.png提取自成绩公�?10�?1日�?2日石家庄三个批次_2.png提取自成绩公�?10�?1日�?2日石家庄三个批次_3.png提取自成绩公�?10�?1日�?2日石家庄三个批次_4.png提取自成绩公�?10�?1日�?2日石家庄三个批次_5.png提取自成绩公�?10�?1日�?2日石家庄三个批次_6.png


本文链接:http://www.hbsfjp.org.cn/news/2025-10-15/338.html
分享到: 点击次数:  更新时间:2025/10/15 16:51:22  【打印此页】  【关闭
上一条:创业指导师成绩公示  下一条:没有了!

通知公告